한전에서 저압으로 수전하는 경우에는 저압 회로의 단락 전류 계산이 필요한데 이때 첨부된 전기안전공사의 자료인 "저압회로의 단락전류 산출방법"을 이용해서 단락전류를 계산합니다. 그러나 일부 참고 자료는 최신 KEC의 자료를 사용해야 하기 때문에 일부 변경해서 적용해야 합니다.
1. 계산 전제에 대한 설명
1) 전원 SOURCE의 임피던스를 "0"으로 간주하는 것은 보수적인 계산으로 단락 전류를 증가시키는 작용을 합니다.
2) 전동기의 기여는 운전중인 정격전류의 4배를 더한 값을 사용하는데 이는 소규모 공장에서 전동기의 크기가 크지 않음을 고려하면 좀 과도한 것으로 판단되나 실제 차단기의 차단용량을 초과하지 않으므로 큰 문제는 아닙니다. 필요시 값을 조정하는 것도 하나의 방법입니다.
2. 임피던스의 값에 대한 자료
선로 임피던스 DATA (IEEE)는 KEC 핸드북의 자료로 교체하는 것이 필요합니다. 매설방법, 주위온도, CABLE 절연 종류 등에 따라 적정한 TABLE을 사용해야 합니다. (아래 샘플 - 지중 D1 TYPE XLPE 전선)

3. 단락전류 계산
%Z 법 (1000 KVA 기준)으로 작성합니다. 소용량이라서 보통 500 KVA 이하 이므로 1000 KVA 기준으로 변환하는 것이 효과적입니다. KEC 기준에 따라서 최대 단락전류와 최소 단락전류를 계산해서 차단용량 산출과 차단기 동작 특성 검증에 각각 사용해야 합니다.
한국전기기술규정 핸드북의 212.5항 "단락전류에 대한 보호" 에 의하면 다음과 같이 적용합니다.

일반적으로 단락전류는 최대 전압 시 최대 단락전류가 흐르게 되므로 최대단락전류는 정격전압의 1.1배, 최소단락전류는 정격전압의 0.9배를 적용합니다. 위의 4항에 따라서 전동기 고장 기여전류는 최댓값을 계산할 때만 더하고 최소 단락전류 계산 시에는 제외합니다.
4. Cable Size 선정
단락전류를 계산하는 루틴에는 초기에 적정한 CABLE SIZE를 선택하여 그 CABLE의 임피던스 값을 적용해서 계산하게 됩니다. 그러나 KEC에서는 CABLE의 허용전류와 차단기의 정격적류 간에 다음과 같은 두가지두 가지 기준을 만족하도록 하고 있어서 이 두 가지를 만족시키는 CABLE SIZE를 확인해야 합니다.

최초 예상 CABLE SIZE 선정 -> 보호장치 정격 선정 -> 단락전류 계산 -> 수식 검증 -> CABLE SIZE, 차단기 정격 재 산정 -> 단락전류 재계산 -> 재 검증 의 절차를 거쳐 최종 CABLE SIZE와 차단기 정격을 결정하게 됩니다. 한 번의 계산으로 끝나는 것은 아닙니다.
저압 회로에서 최대 단락전류와 최소 단락 전류를 구했으면 마지막에 설명한 바와 같이 케이블과 차단기의 사이즈를 결정하는 과정을 다루게 됩니다. 케이블 사이즈와 차단기 정격을 선정하고 기준 수식에 맞는지를 검증하는 과정을 거쳐야 합니다.
5. 단락 전류 계산 샘플
아래의 단선도는 단락용량 계산을 위해 작성된 샘플입니다. 한전 쪽의 변압기 용량을 300KVA로 보고 실제 수전 용량은 200 KVA로 예상했습니다.
이 단선도를 기준으로 단락전류를 계산하고 기기를 선정하는 과정을 진행해 보겠습니다.

6. 단락 전류 계산 기준

7. 단락 전류 계산 과정
1) 계산 과정
위 기준과 단선도를 기초로 하여 각 임피던스를 기준 BASE로 환산하여 고장점에서 본 총 임피던스를 계산합니다. 이 임피던스 값으로 단락전류 계산 식에서 단락전류를 구할 수 있습니다.
여기에 전동기 기여분을 더하여 최대 단락 전류를 구하게 됩니다. 이때 최대값이냐 최솟값이냐에 따라 일정한 상수를 곱하게 되는데 앞에서 이미 설명한 바와 같이 최댓값은 1.1을 곱하고 최솟값은 0.9를 곱합니다.
2) 기준치 결정
기준치는 앞서 설명한 바와 같이 1000KVA Base에 전압은 380V를 기준으로 합니다.
Pn = 1,000[kVA]
Vn = 0.38 [kV]
In = 1,519 [A]
%Z = 692.5 [%/Ω]
3) 각 %임피던스를 기준 BASE로 환산
(1) 변압기 %임피던스를 환산하면

(2) 케이블 %임피던스를 환산하면 (90℃ 기준) - 3항의 선로 임피던스 DATA (KEC 핸드북)는 90℃ 기준 임피던스 값을 표시하고 있음.

(3) MCCB %임피던스
%ZB1 = 0.05 + j0.09 [%]
%ZB2 = 0.25 + j0.09 [%]
3) %임피던스 합성
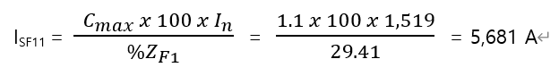
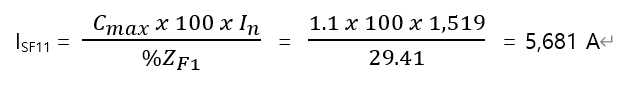
(1) F1점의 임피던스 (90℃ 기준)
%ZF11 = %ZT + %ZL1 + %ZB1
= (8.5+j23.5) + (3.47+j3.25) + (0.05+j0.09) = 12.02 + j26.84 = 29.41 [%]
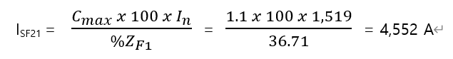
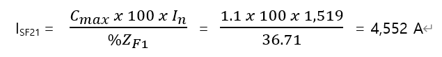
(2) F2점의 임피던스 (90℃ 기준)
%ZF21 = %ZT + %ZL1 + %ZL2 + %ZB1 + %ZB2
= (8.5+j23.5) + (3.47+j3.25) + (8.58+j3.29) + (0.05+j0.09) + (0.25+j0.09)
= 20.85 + j30.22 = 36.71[%]
4) 단락전류 계산 및 차단기용량 결정
(1) F1점의 최대 단락전류

전동기로부터 단락전류 유입량을 변압기 2차 정격전류의 4배로 계산하면

따라서 최대 단락전류는
ISF12 = 5,681 + 912 = 6,593 [A]
(2) F1점의 최소 단락전류

(3) F2점의 최대 단락전류

전동기로부터 단락전류 유입량 912[A]을 고려하면 간선용의 차단용량은
ISF22= 4,552 + 912 = 5,464 [A]
(4) F2점의 최소 단락전류

8. 기기의 정격 선정
1) 차단기 용량 선정
(1) 부하전류를 고려한 과부하 보호장치의 정격전류 선정

산업용 배선 차단기의 정격전류 선정: 500A
(2) 단락 보호장치의 선정
선정 도체: CV 0.6/1Kv 240sq x 2

따라서 순시동작시간은 적정하다.
(3) 보호장치의 차단용량 선정
가. 계통의 최대차단전류: 6,593A
나. 보호장치의 차단전류 = 6,593 x 1.25 = 8,241A
다. 최소 정격차단전류: 10kA
(4) 보호장치의 선정 결과
| 차단기 구분 | 정격전류 | 차단용량 | 비고 |
| 주차단기 (MCCB) | 500A | 10KA 이상 | 차단 1.25배 이상 |
| 간선차단기 (MCCB) | 225 / 100A | 10KA 이상 | 차단 1.25배 이상 |
| 부하차단기 (MCCB) | 100A 이하 | 5KA 이상 | 차단 1.25배 이상 |
2) 수전 Cable 사이즈 선정
(1) 설계전류를 고려한 공칭 단면적의 선정
설계전류: 455.8A,
케이블 공칭 단면적 선정: 240sq x 2 (324A x 2 x 0.85 = 550.8A)
복수회로의 저감계수 – 0.85 (2회로 D1-A 배선)
(2) 과부하 보호장치의 정격전류를 고려한 도체의 단면적

(3) 허용전압 강하율을 고려한 단면적

(4) 단락 용량을 고려한 공칭 단면적 계산
간선의 케이블 사이즈 선정 시에는 단락 전류에 의해 Cable이 소손되지 않도록 사이즈를 선정할 필요가 있다. 케이블 사이즈는 다음과 같이 선정한다.

(5) 도체의 공칭 단면적 결정
위의 4가지 조건을 만족하는 가장 큰 사이즈의 케이블을 선정한다.
240sq x 2 (550.8A)
이상과 같은 과정을 거쳐서 저압 수전 회로의 단락 전류를 계산하였고 이 단락 전류에 적합한 수전 케이블 사이즈를 결정하고 각 위치의 차단기에 대한 차단기 사이즈와 차단용량을 결정하였습니다. 단락 전류 계산은 단순히 단락 전류 계산에 국한되지 않고 연관된 케이블을 포함한 기기의 적정 사이즈를 결정하는 기준이 되기 때문에 매우 중요한 계산입니다. KEC와 전기 안전공사 가이드를 참조하여 정확한 계산 방법을 숙지하는 것이 중요합니다.
'전기 Engineering > 단선도에 포함된 모든 정보' 카테고리의 다른 글
| 누전 차단기 (ELCB)의 적용 기준에 대하여 (0) | 2023.10.25 |
|---|---|
| 소규모 공장의 저압 수전 가능 용량과 단선도 작성 (1) | 2023.10.16 |
| 규격별 변류기의 정격 (Rating of CT - Current Transformer) (0) | 2023.09.14 |
| 재가속 (Reacceleration)과 재기동 (Re-starting)에 대하여 (0) | 2023.09.10 |
| 지락 과전류 계전기 (50/51N, 50/51G) 의 설치와 결선 및 정정 방법 (0) | 2023.09.09 |