공정안전관리 (PSM) 프로젝트를 진행하면서 요구되는 계산서 중의 하나인 접지 계산서를 작성했습니다. 어렵지 않고 일반적인 것이지만 처음 하는 분들은 샘플이 있으면 훨씬 쉽게 접근하실 수 있기 때문에 포스팅으로 공유합니다. 참조 바랍니다.

목 차
1. 목 적
2. 참고 자료
3. 접지 System의 요구 접지 저항
4. 접지 저항 계산 조건
5. 접지 저항 계산 공식
6. 접지 저항 계산
7. 결론
8. 첨부 자료
1. 목적
본 접지 저항 계산서는 *** 공장 내 접지계통의 안전성 및 신뢰성 확보를 위한 접지 저항 값의 적합성을 검토하기 위하여 작성하였다.
2. 참고 자료
1) KEC (한국전기설비규정)
2) KOSHA GUIDE (E-92-2017, E-102-2011)
3) 한국전기안전공사 공통 통합 접지 검사업무 처리방법
4) 한전 대지고유저항표 (충북 음성)
3. 접지 System의 요구 접지 저항 (한국전기 안전공사 자료)
통합 접지 – 5Ω 이하 (전력, 피뢰, 통신 접지를 모두 연결한 접지 방식)
4. 접지 저항 계산 조건
1) 대지 고유 저항 : 308 [Ω–m]
2) Main Grounding Loop Wire Size : 70㎟ 적용
3) Grounding Wire 반지름 : 5.925mm
4) Grounding network 매설 깊이 : 75㎝
5) 접지봉 : 19mm x 2400mm
5. 접지 저항 계산 공식
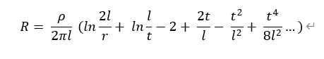
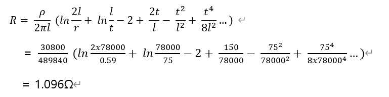
1) Bare copper loop wire

여기서,
ρ : 대지고유저항 (Ω-cm)
l : Grounding Network의 전체 매설 길이 (cm)
t : Grounding Network의 전체 매설 깊이 (cm)
r : 매설 bare copper wire의 반지름 (cm)
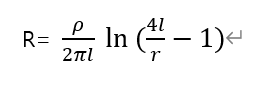
2) Grounding Rod

여기서 l : 접지봉 길이 (cm)
r : 접지봉 반경 (cm)
ρ : 대지고유저항 (Ω-cm)
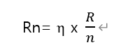
n 접지봉(그룹별) 매설 시 접지저항

여기서 η : 접지봉 설치에 따른 집합계수
n : 그룹당 접지봉 개수 (EA)
R : 1봉 매설 시 접지 저항
표 1.집합계수 K의 값 (전기설비기술 계산 핸드북 발췌)
| 간격 [ m ] 깊이 [ m ] | 0 | 0.5 | 1 | 2 | 3 | 4 |
| 0.61 | 2.00 | 1.20 | 1.11 | 1.05 | 1.03 | 1.01 |
| 1.52 | 2.06 | 1.35 | 1.20 | 1.15 | 1.10 | 1.05 |
접지극 간격이 10m를 넘으면 K를 1로 본다.
6. 접지저항 계산
1) 전체 단위는 cm 기준으로 한다.
2) 전체 매설 길이 : 78000 cm (첨부 1 – 외부 접지 설비 배치도에서 계산)
3) Mesh grounding wire 접지 저항 (첨부 2 – KOSHA Guide E-92-2017 공식 적용)

4) 접지봉 접지 저항 (첨부 2 – KOSHA Guide E-92-2017 공식 적용)

3개 접지봉 그룹의 접지저항은

총 그룹 수가 8 이므로 접지봉의 전체 저항은 6.77Ω이다.
5) 합성 전체 접지 저항

7. 결론
상기 계산된 Bare copper loop 접지 값과 접지봉의 접지 저항을 합산한 최종 접지저항 값이 0.943Ω 은 통합 접지를 위해 요구되는 최소 접지 저항 값 5Ω을 충분히 만족하는 것으로 확인된다.
8. 첨부 자료
1) 옥외 접지 설비 배치도 (1/4)
2) 한국전기안전공사 통합 접지 저항 값 자료
3) KOSHA GUIDE (E-102-2011)
4) KOSHA GUIDE (E-92-2017)
5) 한전 대지고유저항표
* 대지고유저항 선정과 관련하여 한 가지 팁을 드립니다. 제가 한 프로젝트는 초기에 지질조사 시 대지고유저항 측정을 하지 않았습니다. 공장 부지 조성 시에 이에 대하여 토목 관계자에게 테스트를 요청하든지 아니면 접지 관련 업체에 테스트를 요청하는 것이 필요합니다. 그 외에 편법으로 저는 위 첨부자료 5번의 한전 대지 고유 저항표라는 자료를 사용했습니다. 한전 홈페이지에 들어가서 "한전 대지 고유 저항표"라는 것을 찾아보면 전국의 각 지역에 대한 대지 저항을 측정한 자료가 있습니다. 이 자료를 이용해서 대지 저항 308 ohm-m라는 값을 찾아서 적용했습니다. KOSHA에서 이 자료를 인정해 주어서 무사히 심사를 통과하였습니다. 혹시 대지 고유 저항값을 얻지 못하는 경우에는 이런 자료가 참고가 됩니다.
'전기 Engineering > 피뢰와 접지' 카테고리의 다른 글
| 접지 시스템 개념도 설명 (EARTHING SYSTEM PHILOSOPHY) - 2 (0) | 2023.11.06 |
|---|---|
| 접지 시스템 개념도 설명 (EARTHING SYSTEM PHILOSOPHY) - 1 (1) | 2023.11.04 |
| 소규모 공장의 접지 시방서 작성 (샘플) (0) | 2023.10.12 |
| 접지 릴 (Earth Reel)과 탄소 접지봉 (Special Earthrod) (2) | 2023.10.11 |
| 접지 저항 측정에 대한 오해와 진실 그리고 (0) | 2023.09.29 |