KEC가 적용되면서 이전과 같이 1종 ~ 3종 접지에 대하여 접지 저항값이 제시되는 것이 아닌 허용 접촉전압 이하로 접촉 전압이 유지되도록 접지를 하라는 규정을 생각하다가 자료를 찾아보게 되었는데 아래의 자료가 도움이 될 것 같아서 포스팅으로 올리게 되었습니다. 이 자료는 각 규격별 접촉전압과 보폭전압을 계산하는데 가이드가 될 수 있습니다.
이 포스팅에서 IEEE 및 IEC 표준에 따른 안전한 접촉 및 보폭 전압 한계 (안전 기준)를 계산하는 공식을 제시하고 그 결과를 비교하려고 합니다.
I. 서론
안전한 접지 시스템 설계에는 두 가지 목표가 있습니다. 장비의 한계를 초과하지 않고 정상 및 고장 전류를 운반하는 수단을 제공하고, 지상 시설 근처의 사람이 위험한 전기 충격에 노출되는 위험을 줄이는 것입니다. 일반적인 지락사고 상태에서 지락 전류의 흐름은 변전소 내외부에서 전압 등고선을 생성합니다. 그림 1은 132 kV 변전소의 지락 상태에서의 표면 전압 등고선을 보여줍니다. SafeGrid Earthing Software가 모델링을 수행하는 데 사용되었습니다.

접지 시스템 설계 시 적절한 예방 조치를 취하여 지락 사고 상태에서 지구 표면의 최대 접촉 및 보폭 전압이 지역의 사람에게 위험을 초래할 수 있는 안전 한계치를 초과하지 않도록 해야 합니다. 안전한 접촉 및 보폭 전압 한계치가 설정된 후 예상 고장 전류 및 관련 보호 차단 시간을 기반으로 접지 시스템을 설계할 수 있습니다.
이 논문은 상용 주파수에서 최신 국제 표준에 따른 안전한 접촉 및 보폭 전압 한계를 계산하는 공식을 제시하고 차이와 결과를 검토하려고 합니다.
고주파에 의한 안전 한계치에 대한 참고 사항: 현재는 낙뢰 전류에 대한 접촉 및 보폭 전압 한계치를 제공하는 안전 한계치 공식이나 표준이 없습니다. 최근 문헌에서는 10/350µs 형태의 번개 충격 전류 파형에 대해 각각 2kV와 25kV의 접촉 및 보폭 전압 한계가 사용될 수 있다고 제안되었습니다. 참조 [ref. 9].
II. 안전 표준
전류가 인체에 미치는 영향은 고장 전류의 크기와 지속 시간, 주파수 등 여러 요인에 따라 다릅니다. 최소 안전 기준의 유도는 이러한 영향에 대한 기본적인 지식과 안전 한계치를 결정하기 위해 수행된 수많은 과학적 조사에 기반합니다. 과학을 바탕으로 허용 가능한 인체 전류 수준을 제공하여 전기 충격에 노출된 사람들의 사망을 방지하는 표준이 개발되었습니다. 두 가지 주요 안전 표준은 IEEE Std 80-2013 [1]과 IEC 60479-1:2010 [2]입니다. 영국 표준 BS 50522:2010과 유럽 표준 EN 50522:2010은 IEC 60479-2010에서 파생되었습니다.
III. 수학적 공식
A. IEEE Std. 80-2013
• 인체가 견딜 수 있는 전류 한계
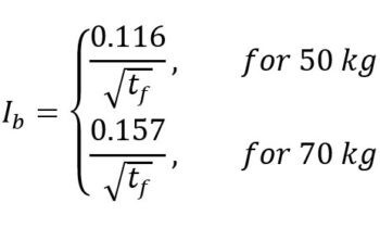
심실세동전류는 사람의 체중의 함수로 가정됩니다. 이 아이디어는 Dalziel [5]이 수행한 연구에서 나온 것입니다. 따라서, 99.5%의 사람들이 견딜 수 있는 허용 가능한 인체 전류에 대한 공식은 두 체중(50kg 및 70kg)에 대해 다음과 같습니다:

여기서 tf 는 초 단위의 고장 차단 시간입니다(0.03~3초).
• 인체 임피던스
1000Ω의 일정한 인체 임피던스가 고려됩니다. 이는 발의 저항을 제외한 것입니다. 인간의 발은 반경이 0.08m인 전도성 금속 디스크로 표현되며, 신발, 양말 등의 접촉 저항은 무시됩니다. 접촉 및 보폭 전압에 대한 발 저항은 다음과 같이 계산됩니다:

여기서 ρs는 표면층의 저항률이고, Cs는 보호 표면층에 의한 저항률 증감 요소입니다.
• 표면층 재료의 영향
발 저항 계산에서 Cs 인자는 변전소 내의 표면층(보통 저항성 분쇄암층)의 영향을 설명하기 위한 것입니다. Cs의 계산은 각 항이 표면 적분인 엄격한 수열 표현에 기반합니다. 변전소 내의 표면에 얇은(보통 8-15cm 두께의 분쇄암) 고저항성 재료층을 깔면 허용 가능한 접촉 및 보폭 전위가 증가합니다. 이는 고저항성 표면층이 인체와의 연결에 추가적인 직렬 저항을 제공하여 사고 상황에서 인체 전류를 감소시키기 때문입니다. 표면층의 저항률이 상당한 이점을 얻기 위해서는 최상위 토양층 저항도보다 적어도 5배 이상 높아야 합니다 [6]. 이러한 표면층의 영향은 증감률 항(Cs)을 발 저항(Rf) 계산에 포함시킴으로써 허용 가능한 접촉 및 보폭 전위에 반영됩니다.
표면층이 없으면 ρ = ρs 입니다.
• 추가 저항
신발, 장갑 등과 같은 추가 저항은 이 표준에서는 허용되지 않습니다.
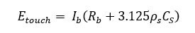
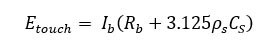
• 접촉 전압
사람이 손을 접지된 구조물에 접촉하면서 서있는 지점의 표면 전위와 접지 그리드 또는 시스템의 지상 전위 상승(GPR)과 사이의 전위 차이를 접촉 전압이라고 합니다. 접촉 전압은 다음과 같이 주어집니다.

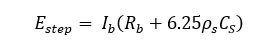
• 보폭 전압
사람이 접지된 물체에 접촉하지 않고 발로 1m를 연결할 때 경험할 수 있는 표면 전위의 차이입니다. 보폭 전압은 다음과 같이 주어집니다.

B. IEC 60479-1:2010
• 인체가 견딜 수 있는 전류 한계
이 표준에서 사용되는 심실세동 전류는 고장 전류의 지속 시간의 함수입니다. 손에서 발까지의 전류 경로에 대한 심실 세동의 전류 임계값은 그림 2에 제시되어 있습니다.

Fig.2. Permissible body current versus duration curve (Figure 20 from IEC 60479-1:2010)
보폭 전압 관심 지역은 c1, c2 및 c3의 경계를 가진 AC-4입니다. 약 400ms에서 허용 가능한 전류가 급격히 감소하는 것이 보입니다(그래프의 전환점). 이는 고장 전류가 심장의 T-위상(약 400ms에 발생)과 간섭할 가능성이 높아져 심장의 세동을 더욱 촉발할 수 있기 때문입니다.
• 인체 임피던스
인체 임피던스 모델은 오옴의 법칙에 따라 인체 임피던스에 의한 접촉 전류 임계값과 연관된 접촉 전압 임계값으로 주어집니다. 손과 손 사이의 임피던스는 습기가 많은 상태와 건조한 상태 모두에 대해 인구의 5번째, 50번째, 95번째 백분위수로 제공됩니다. 5번째 백분위 (95% 이상의 인구를 나타냄)에 해당하는 인체 임피던스 값은 낮고 안전 측면에서 가장 보수적인데, 이는 인체를 통한 전류가 더 높아지기 때문입니다. 손에서 발까지의 인체 임피던스는 손과 손 사이의 인체 임피던스보다 10-30% 적습니다. 이는 IEEE Std. 80이 1000Ω의 고정값을 사용하는 것과 다릅니다. IEC 60479은 고려해야 할 다른 인체 전류 경로를 정의합니다. 다른 인체 전류 경로가 고려될 때 손에서 발까지의 임피던스는 그림 3에 나타난 인체 요소를 사용하여 해당 전류 경로 임피던스로 변환됩니다.

그림 3. 선택된 인체 전류 경로의 백분율 인체 요소 (IEC 60479-1:2010의 그림 2)
• 심장 전류 계수, F
심장 전류 계수는 왼손에서 발 까지가 아닌 다른 경로를 통한 Ih와 같은 위험성을 나타내는 심실세동에 해당하는 전류를 계산하는 데 사용됩니다.

• 발 및 추가 저항
발 저항은 IEEE Std. 80에 따라 계산되거나 사용자 정의 발 저항을 사용할 수 있습니다. 신발, 장갑 등과 같은 추가 저항이 이 표준에서 허용됩니다.
• 예상 전압
IEEE Std. 80이 변전소에 대한 안전 기준 (허용 가능한 접촉 및 단계 전위) 을 직접 설정하는 방법을 제공하는 반면, IEC 60479은 그렇지 않습니다. 필요한 방법은 다음 단계에 설명됩니다.
- 주어진 고장 차단 시간과 심실 세동 확률을 가정하여 그림 1에서 허용 가능한 인체 전류 값을 결정합니다.
- 허용 가능한 인체 전류 수준에 대해 표를 사용하여 해당 인체 저항을 결정합니다.
- IEEE Std 80-2013에 따라 발 저항을 계산합니다.
- 허용 가능한 접촉 및 단계 전위를 계산합니다.

C. CENELEC EN 50522:2010
이 표준은 IEC 60479과 매우 유사하지만 다음과 같은 차이점이 있습니다.
• 인체 임피던스
인체 저항은 IEC 60479-1:2010의 표 1(50/60Hz, 손에서 손까지의 전체 인체 임피던스 대 전압, 건조한 상태에서 큰 접촉면적)을 기반으로 계산되며, 인구의 50% 백분위 수입니다.
• 인체가 견딜 수 있는 전류
한계 임계 전류는 IEC 60479-1:2010의 그림 20의 심실 세동 확률 50% C2 곡선(충격 지속 시간 대 인체 전류)에서 결정됩니다.
D. BS 50522:2010
이 표준도 IEC 60479과 매우 유사하지만 다음과 같은 차이점이 있습니다.
• 인체 임피던스
인체 저항은 IEC 60479-1:2010의 표 1(50/60Hz, 손에서 손까지의 전체 인체 임피던스 대 전압, 건조한 상태에서 큰 접촉면적)을 기반으로 계산되며, 인구의 5% 백분위 수입니다.
• 인체가 견딜 수 있는 전류
한계 임계 전류는 IEC 60479-1:2010의 그림 20의 심실 세동 확률 50% C2 곡선(충격 지속 시간 대 인체 전류)에서 결정됩니다.
IV. 시뮬레이션 결과
다음의 접지 및 단계 전압 시뮬레이션은 IEEE Std. 80 및 IEC 60479-1을 사용하여 다음 조건에서 수행됩니다:
• 표면층이 없습니다.
• 추가 저항은 고려되지 않습니다.
• 발 저항은 IEEE Std. 80에 따라 계산됩니다.
A. IEC 60479-1:2010
IEC 표준에 따른 접지 및 단계 전압의 계산은 세 가지 섬유막 진동 확률, c1, c2 및 c3을 사용합니다. 인구의 50%가 초과하지 않는 신체 임피던스가 고려됩니다. 접촉 면적은 크고 건조한 접촉 조건이 사용됩니다. 접지 및 단계 전압의 심장 전류 인자는 1 (보수적으로)로 취합니다. 접지 전압의 신체 인자는 74.25%이고 단계 전위의 경우 1.015%입니다. 그림 4와 그림 5는 고장 차단 시간이 0.01초에서 1초까지 변화하는 허용 가능한 접촉 및 보폭 전압을 보여줍니다.

그림 4. IEC 60479-1에 따른 접지 전압

그림 5. IEC 60479-1에 따른 단계 전압
B. IEEE Std. 80
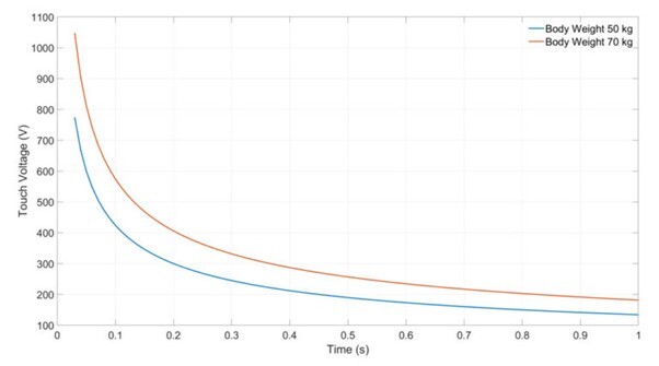
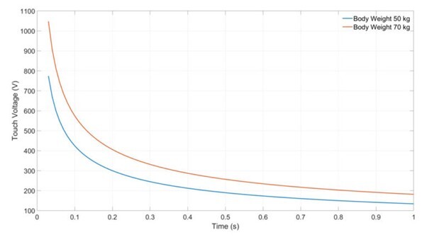
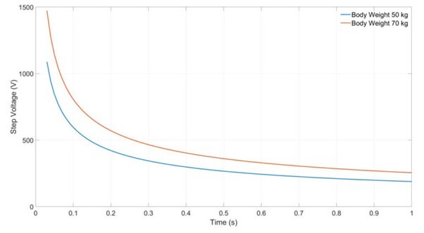
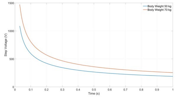
IEEE Std. 80에 대한 접지 및 단계 전압 계산은 몸무게가 50kg와 70kg인 경우에 수행됩니다. 표준 신체 임피던스인 1000Ω가 사용됩니다. 그림 6과 그림 7은 결함 클리어링 시간이 0.03초에서 1초까지 변화하는 허용 가능한 접지 및 단계 전압을 보여줍니다.

그림 6. IEEE Std. 80에 따른 접지 전압

그림 7. IEEE Std. 80에 따른 단계 전압
V. 결론
IEC 60479에서 규정하는 안전 기준의 계산은 직관적이지 않습니다 반면, IEEE Std. 80의 경우는 직관적입니다. IEC 60479는 발 저항을 계산하는 방법을 제공하지 않습니다. IEEE Std. 80은 신체 저항 값을 고정된 값인 1000Ω로 가정하며 이러한 단순화는 안전성을 위태롭게 할 수 있습니다. IEEE Std. 80은 주어진 몸무게에 대한 안전 기준을 정의하는 반면, IEC 60479는 신체 질량에 의해 신체 임피던스가 크게 영향받지 않음을 명시합니다.
IEC 60479의 안전 한계는 고장 전류가 심장의 T-위상(약400ms 주변에서 발생)과 간섭하는 최근 지식을 기반으로 합니다. 이것은 심장의 섬유막 진동을 더욱 일으킬 가능성이 높습니다. IEC60479는 심장 전류 인자와 신체 인자를 사용하여 다른 신체 경로를 통한 전압을 계산할 수 있도록 합니다.
IEEE Std.80-2013과 IEC60479-1:2010의 안전 기준을 비교하였으며 차이점을 정량화하였습니다. 일반적으로 IEC 표준은 400ms보다 짧은 고장 지속 시간에 대해 IEEE 표준에 비해 더 높은 안전한 한계를 허용합니다.
감소 인자에 대한 참고
감소 인자는 접지 계산에서 대칭 접지 고장 전류 매개 변수와 함께 사용되는 조정 인자입니다. 고장 지속 시간에 대한 비대칭 전류파의 RMS 동등물을 결정하며 초기 DC 오프셋과 고장 중의 감쇠 효과를 고려합니다 [1].
IEEE Std. 80은 유효한 비대칭 고장 전류를 계산된 감소 인자와 RMS 대칭 고장 전류의 곱으로 정의합니다. 우리는 감소 인자를 고장 전류에 적용하는 것이 최선의 방법이라고 생각합니다. 이는 전력 시스템 주파수에서 RMS AC 전류의 실제 증가와 함께 접지 관련 안전 전압의 실제 증가로 이어집니다. 우리는 [9]에서 제공하는 이유로 안전 기준 허용 전압 한계에 감소 인자를 감소 인자로 적용하는 것에 동의하지 않습니다.
REFERENCES
[1] IEEE Std 80.-2013. IEEE Guide for Safety in AC Substation Grounding, The Institute of Electrical and Electronics Engineers, Inc.
[2] IEC 60479-1:2010. Effects of current on human beings and livestock – Part 1: General aspects.
[3] CENELEC EN 50522:2010 Earthing of power installations exceeding 1 kV a.c.
[4] BS EN 50522:2010 Earthing of power installations exceeding 1 kV a.c.
[5] Dalziel, C. F. (1946). “Dangerous electric currents.” AIEE Transactions on Power Apparatur and Systems 62: 579-585.
[6] Dawalibi, F. (1982). Transmission Line Grounding. EL-2699, Research Project 1494-1. Montreal, Quebec, Canada, Safe Engineering Services Ltd. 1.
[7] Dawalibi, F. (2003). “Effects of the changes in IEEE Std 80 on the design and analysis of power system grounding.”
[8] Thapar, B., V. Gerez, et al. (1994). “Reduction factor for the ground resistance of the foot in substation yards.” IEEE Transactions on Power Delivery 9(1): 360-368.
[9] Tocher, W. J. V., Pawlik, B., Woodhouse, D. J., & Shaw, C. (2016, September). On decrement factor how and why X/R correction is used and abused. In 2016 Down to Earth Conference (DTEC) (pp. 1-7). IEEE.
[9] Suchanek. S. et al, Simulation of earth termination systems for lightning protection systems regarding step voltages, 2011
자료 출처: https://elek.com.au/articles/safety-limit-calculations-to-ieee-and-iec-standards/
이번 포스팅을 하면서 이 자료로는 접촉전압을 계산하는데 부족하다고 생각이 되었습니다. 일단 허용 접촉전압을 계산하는 포스팅을 추가로 작성해야겠다고 생각했습니다. 앞으로도 완벽하지는 않지만 도전적인 주제를 가지고 계속 접지 시스템에 대한 포스팅을 추가해 나가도록 하겠습니다.
'전기 Engineering > 피뢰와 접지' 카테고리의 다른 글
| 저압 접지 시스템의 기초 이해 (0) | 2023.09.17 |
|---|---|
| 접지 도체의 사이즈 정리 (2) | 2023.09.12 |
| 접지 연결에 대한 기초 이해 (Earthing Protection System) (2) | 2023.09.06 |
| 접지 저항 측정 방법에 대한 고찰 (Measurement of Earthing Resistance) (0) | 2023.07.07 |
| 접지 저항 계산서 (Earthing Resistance Calculation) 작성 방법 (0) | 2023.07.07 |